当前位置:首页> 专题 > 技术推广 > 地灾监测

地质灾害前沿|多周期振动下颗粒材料的相变:多次地震对引发滑坡的影响

来源:智慧灾害调控 发布时间 2024-12-12

摘要

地震引发的滑坡已被广泛认可。尽管单次地震引发滑坡的地震响应已被大量研究,但关于地震序列和多次地震引发滑坡的响应机制尚缺乏深入理解,而多次地震作用下的动态弱化机制也缺乏实验支持。为探索其地震响应特性和触发机制,本研究使用玻璃球进行了多周期振动剪切环实验和动态三轴弯曲实验。实验结果表明,在振动过程中发生了共振滑移,随着振动周期增加,样品在振动后逐渐滑移,最终导致加速失稳。随着振动周期的增加,样品表现出从固体-半固体状态向液体状态的转变。进一步的结果表明,这主要是由于振动周期的增加导致剪切模量逐渐减弱。研究还发现,多周期振动引起的样品剪切强度削弱受振幅、振动时间和两个振动周期间的间隔时间的影响。本研究为地震序列和地震活跃地区如何引发滑坡提供了新的认识。

引言

地震引发的滑坡因其破坏性影响而成为研究热点。例如,汶川8.0级地震引发的超过60,000处滑坡导致约20,000人死亡。为了改进地震滑坡的预测,需要研究边坡材料的地震响应特性以及边坡失稳的触发机制。

基于大量地震滑坡数据,许多研究表明,地震滑坡的分布与地震波的振幅、频率和持续时间相关。一些针对颗粒材料的振动实验发现,大振幅、低频率和较长的振动持续时间更容易引发滑坡。此外,一些实验还表明,在长期蠕变条件下,大振幅和长周期振动对不稳定性有促进作用。还有一些研究探索了背景剪切速度下振动对颗粒材料的影响,表明振幅和频率对不稳定性具有复杂影响。然而,大多数现有研究集中于单次地震引发滑坡的地震响应特性,对多次地震作用下滑坡的研究较少。

许多滑坡的现场监测结果表明,在滑坡失稳之前,地震滑坡经历了多次历史上的地震活动。例如,Bontemps等指出,秘鲁的一处滑坡在3年内遭受了165次震级为3.1到5.5的地震(距离滑坡50公里范围内),并描述了多次地震作用下滑坡位移和地震波速的变化。Tiwari等指出,在2015年的尼泊尔Gorkha地震中,超过90%的中型到大型滑坡是在主震及其后的小型余震中触发的,而几乎10%则是由17天后的一次7.3级大余震引发的。然而,由于现场采样频率较低以及降雨等因素的干扰,对地震响应特性的研究受到限制。因此,需要更多针对颗粒材料的振动剪切实验,以进一步研究地震响应特性并验证现有研究结果。

现有关于地震滑坡触发机制的解释主要包括:地面的运动加速度使滑动面上的剪应力超过剪切阻力;滑动面上饱和层的“振动液化”导致有效正应力下降;剪切平面上的土粒因动力弱化导致滑动面的剪切阻力减小。近年来,动力弱化机制得到了广泛认可。Johnson和Jia提出了多次冲击作用下断层核心剪切模量的弱化模型,但缺乏证据和实验结果的支持。

因此,本研究通过多周期振动剪切环实验,使用0.2–0.4毫米的玻璃球在干燥条件(室内湿度)下研究颗粒材料的动态响应特性。同时,利用动态三轴弯曲系统研究相同材料剪切模量的变化。本研究揭示了多周期振动如何导致失稳及剪切模量的削弱。

实验装置与方法

震滑坡受到自然地震波的影响,地震波可以分解为垂直和平行于滑动面的分量(图1a)。为了模拟多次地震波作用下滑动带摩擦颗粒的应力条件,环形剪切仪在提供恒定的法向应力和剪应力的同时,对颗粒状材料施加不同振幅的动载荷(图1c)。在自然界中,滑动带主要由颗粒材料组成。此外,通过选择不同类型、大小和形状的颗粒,可以调整颗粒材料的物理性质,使实验条件更加可控,从而更深入地研究颗粒材料的力学性质和物理机制。玻璃球因其可控性和一致性,被广泛应用于实验室研究中,用于研究断层和滑坡的机制。在本研究中,颗粒介质由直径为0.2至0.4毫米的玻璃球组成。

图片

图1.地震滑坡的模型与环剪试验装置示意图(a) 滑坡滑带模型及其受地震力作用下单元体的力学模型;(b) 环剪试验的物理模型;(c) 剪切环实验系统的结构示意图


01

动态环剪试验装置

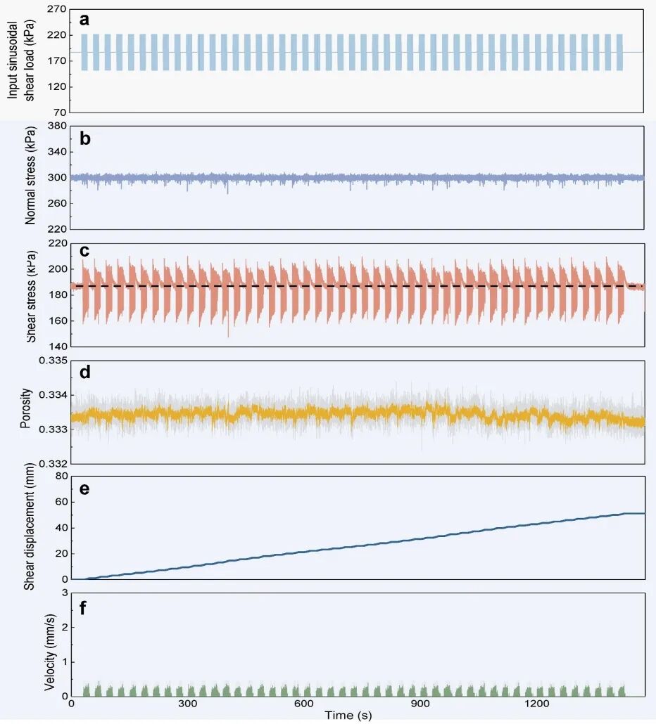
本研究采用多周期振动环剪试验装置研究干燥颗粒材料的动态响应特性。实验装置如图1b所示。在实验中,首先将0.2至0.4毫米的玻璃球放置在剪切环盒中(高度66.2毫米,直径21毫米),初始密度为1.53 g/cm³(初始孔隙率为36.2%),并施加恒定的正应力和剪应力。实验中的正应力为300 kPa,首先通过应变控制模式以0.1毫米/秒的速度剪切样品,以获得样品的残余强度。然后停止剪切,并通过应力控制模式向样品施加等于残余强度的剪应力。之所以对样品施加等于残余强度的剪应力,是因为残余强度是滑带滑动的重要参数。在这样的正应力和剪应力下,样品保持静止,因为它恢复了比残余剪应力更高的峰值剪切强度。在此应力状态下,施加多周期的正弦波循环应力(图2)。考虑到实际地震具有不同的振动持续时间和复发间隔时间,实验中设置了不同的单周期振动时间和两个振动周期之间的间隔时间。循环加载的频率为1 Hz,代表了典型地震地面运动的主频率范围。实验条件如表1所示。

图片

图2.实验方案示意图


表1.动态环剪试验试验方案

图片

02

动态三轴弯曲系统

本研究还进行了一组动态三轴弯曲实验。在实验中,使用直径为0.2至0.4毫米的玻璃球制备样品,样品高度为200毫米,直径为100毫米,初始密度为1.51 g/cm³(初始总孔隙率为37.3%)。将样品放置在三轴试验容器中,施加300 kPa的围压和380 kPa的偏应力。实验中施加了振幅为50和70 kPa、频率为1 Hz的正弦动态载荷。单周期振动时间为15秒,两周期之间的间隔时间为20秒。在测试过程中,使用弯曲元件系统以273毫秒的间隔测量样品剪切模量的变化。实验条件如表2所示。

表2.动态三轴弯曲试验方案

图片

实验结果

01

剪应力方向的多周期振动环剪试验

在单一振动周期内,剪切位移可分为两类:共振滑移(co-vibration slip),即振动过程中发生的位移,以及后振滑移(post-vibration slip),即振动结束后发生的位移(图3)。

图片

图3.在单个振动周期内的剪应力与剪切位移实验结果。剪切位移可分为振动过程中的共振滑移(蓝色矩形)和振动后的后振滑移(粉色矩形)

图4显示了30个振动周期下的多周期振动实验结果。实验中施加的正应力为300 kPa,剪应力为187 kPa,正弦动态剪切载荷的振幅为45 kPa,频率为1 Hz(测试1)。单周期振动时间为15秒,两个振动周期之间的间隔时间为15秒。实验结果表明,样品在多周期振动下经历了以下三个阶段:长时间的稳定变形,加速变形,最终失稳。在整个剪应力方向振动实验过程中,振动对正应力和孔隙率的变化几乎没有影响(图4b和图4d)。根据后振滑移和每个振动周期中剪切位移的速度变化(图4f),整个实验过程可分为三个阶段:阶段I:包括前四个振动周期。在此阶段,每个周期的后振剪切速度约为零,仅发生共振滑移,几乎没有后振滑移(<0.1毫米)。阶段II:后振阶段的剪切速度在每个周期中不为零,并出现减速的后振滑移。阶段III:后振滑移在每个振动周期中表现出加速特性,最终导致不稳定性。

图片

图4 .振幅为45 kPa下的循环剪切加载实验,正应力为300 kPa,剪应力为187 kPa(测试1);(a) 输入正弦剪切载荷,振幅为45 kPa,频率为1 Hz,每个振动周期15次循环,共30个振动周期,间隔时间为15秒;(b) 实验中正应力的变化图; (c) 实验中剪应力的变化图;(d) 孔隙率变化图;(e) 剪切位移的变化图;(f) 剪切速度的变化图

为了更清晰地观察振动周期数增加对样品变形的影响,选择了三个代表性的振动周期,并对相应结果进行了放大分析(图5)。第1个振动周期(阶段I):剪切位移表现为1.27毫米的共振滑移,未观察到后振滑移(图5a和图5b)。第21个振动周期(阶段II):剪切位移包括1.8毫米的共振滑移,振动结束后出现0.51毫米的后振滑移(图5c和图5d)。第27个振动周期(阶段III):剪切位移表现为3.61毫米的共振滑移,并伴随加速运动的后振滑移,表明不稳定性(图5e和图5f)。

整体结果显示,不同振动周期的剪切位移和后振响应模式存在显著差异。此外,振动剪应力导致共振剪切位移呈阶梯状增长(图5g),其平台段对应于循环剪应力的波谷部分,而上升段对应于波峰部分。

在单个振动周期实验中,测量的剪切阻力与施加的剪切应力之间存在差异。随着振动周期数的增加,每个周期振动循环的峰值剪切应力逐渐降低(图5a和图5c)。但在第27个振动周期,测量的剪切应力未随振动变化,且低于第1和第21个周期的剪切应力(图5e)。这表明样品的剪切强度随着振动持续时间的增加而减弱。

图片

图5.测试1中第1组、第21组、第27组振动周期的循环剪切加载实验结果,放大自图4。(a, c, e)应用的正弦剪切应力(浅蓝色线)与测量的抗剪强度(浅红色线);(b, d, f) 剪切位移(蓝线)和孔隙率(黄色线)的变化 (g) 放大自(a),显示循环剪切应力与剪切位移的变化。蓝色区域为共振滑移阶段,粉色区域为后振滑移阶段,紫色区域为同步剪切位移上升段及剪切应力峰值段

为量化摩擦响应,用每个振动周期中测量的峰值剪切阻力与第一振动循环中输入峰值剪切应力的比值(τm/τa)来表示样品剪切强度的削弱程度。统计结果表明:振动周期增加时,τm/τa 在第24个振动周期之前缓慢下降且大于85%,但在第24个周期出现突降(图6a)。剪切位移随振动周期数增加呈线性增长,在第24个周期后开始呈指数加速增长(图6b)。剪切位移的变化率在第24个周期后也急剧增加,表明样品从固体-半固体状态转变为液体状态(图6c)。

实验结果还显示,共振滑移和后振滑移的变化趋势与总剪切位移的趋势类似。然而,在第24个周期后,后振滑移的增长率超过了共振滑移的增长率(图6b和图6c),表明后振滑移对样品失稳起了重要作用。

图片

图6.样品从固体-半固体到液体的相变过程(a)每个振动周期中测量的峰值剪切应力与第一振动循环输入峰值剪切应力的比值(τm/τa),随着振动周期数增加而下降;(b)每个振动周期中的同步剪切位移、后振剪切位移及总剪切位移随着振动周期数增加而变化;(c)每个振动周期剪切位移的变化率随振动周期数的变化

在振幅为35 kPa的实验(测试2)中,样品在47个振动周期后仍然保持稳定(图7)。剪切位移曲线整体呈线性增长,振动结束后几乎没有后振滑移。类似地,从图7f可以观察到,每个振动周期中的剪切速度相对恒定,几乎没有后振剪切现象。

图片

图7. 振幅为35 kPa,正应力为300 kPa,剪应力为187 kPa下的循环剪切加载实验(测试2)(a)输入的正弦剪切载荷,振幅为35 kPa,频率为1 Hz,每组15次循环,共47个振动周期,间隔时间为15秒; (b) 正应力的变化图;(c) 剪应力的变化图;(d) 孔隙率变化图;(e) 剪切位移的变化图; (f) 剪切速度的变化图

从位移统计结果来看(图8a),每个振动周期的共振滑移和后振滑移值呈波动状态,但整体表现出一致性和稳定性。总位移的变化趋势与共振滑移的变化趋势相似。图8b显示,实验期间仅产生了极小的累积后振滑移。总累积位移的趋势与累积共振滑移的趋势相似,呈现出接近线性增长的模式,而未出现加速增长的趋势(如图6b所示)。

图片

图8.(a) 各振动周期的同步剪切位移、后振剪切位移和总剪切位移随振动周期数的变化;(b) 各振动周期的累积同步剪切位移、累积后振剪切位移和总累积剪切位移随振动周期数的变化

在振幅为40 kPa的实验(测试3)中,样品在42个振动周期后保持稳定。可以观察到,在第24个振动周期,样品的剪切应力开始减弱(图5e),后振剪切位移突然增加。即便在第27个振动周期中,后振剪切位移仍表现出加速特征(图9e)。然而,在第28个振动周期后,样品的后振剪切位移逐渐减少至零(图9c、图9e和图9f)。

图片

图9.振幅为40 kPa,正应力为300 kPa,剪应力为156 kPa下的循环剪切加载实验(测试3);(a) 输入的正弦剪切载荷,振幅为40 kPa,频率为1 Hz,每组15次循环,共47个振动周期,间隔时间为15秒;(b) 正应力的变化图;(c) 剪切阻力的变化图;(d) 孔隙率变化图;(e) 剪切位移的变化图。(f) 剪切速度的变化图

图10显示了在三个振幅下的多周期振动实验中,剪切位移变化的差异。可以观察到,在振幅为45 kPa的实验中,剪切位移最终加速增长,导致样品失稳。在振幅为35 kPa的实验中,剪切位移呈线性增长。而在振幅为40 kPa的实验中,剪切位移在第22个振动周期突然增加,表现出与45 kPa剪切位移曲线相似的趋势。然而,在第26个振动周期后,剪切位移又减少了。共振滑移、后振滑移以及总位移的变化趋势类似。

图片

图10.不同振幅下每个振动周期的共振滑移、后振滑移和总位移随振动周期数的变化;(a, c, e) 各振幅的共振滑移、后振滑移和总位移随振动周期数变化的曲线;(b, d, f) 各振幅的累积共振滑移、累积后振滑移和总累积位移随振动周期数变化的曲线

为了进一步观察不同振幅条件下样品在失稳与非失稳实验中动态响应特性的差异,比较了三个振幅实验中的 τm/τa 值。结果显示,35 kPa实验中的 τm/τa 与45 kPa实验呈完全不同的趋势。前者在振动周期数增加时几乎保持不变,且 τm/τa 的值比45 kPa实验中高出约93.5%。40 kPa实验中的 τm/τa 呈现更复杂的趋势。在第24个振动周期时,τm/τa 突然下降,并在第27个振动周期达到最低值(80%),随后又恢复到下降前的水平(图11)。

图片

图11.在不同振幅实验中,每个振动周期中测量的峰值剪切应力与第一振动循环输入峰值剪切应力的比值(τm/τa)随振动周期数的变化

尽管在多周期振动实验中控制了频率为1 Hz,但为了显示不同振动频率对失稳的影响,仍然进行了一组不同频率的对比实验。结果表明,0.5 Hz的振动导致了样品的加速失稳,而2 Hz的振动仅引起了样品的轻微共振滑移。低频振动更容易促进样品失稳。

振动时间和振动间隔时间也会影响实验结果。例如,在测试8和测试10中,两者的振动间隔时间均为15秒,振幅为30 kPa。然而,在振动时间为10秒的测试8中,经过54个振动周期后发生失稳。而在振动时间为20秒的测试10中,仅在32个振动周期后就发生了失稳。对于测试4和测试7,两者的振动时间均为15秒。在测试4中,振动间隔时间为10秒且振幅为25 kPa,经过22个振动周期后发生失稳。而在测试7中,振动间隔时间为20秒且振幅为30 kPa,即便经历32个振动周期后仍未观察到失稳现象。

02

动态三轴弯曲试验

为了进一步研究多周期振动对样品动态弱化的影响,进行了一组动态三轴弯曲实验,观察剪切模量的变化。这些实验在300 kPa围压和380 kPa偏应力下进行,振动频率为1 Hz,振幅分别为50 kPa和70 kPa。单周期振动持续时间为15秒,两周期之间的间隔为20秒,总共进行了15个振动周期。

实验结果显示,在多周期振动下,剪切模量整体呈现近似对数形式的下降趋势,但随着振动周期数的增加,也表现出一定的波动变化。振动过程中,剪切模量下降,而在振动结束后又会部分恢复。

在振幅为70 kPa的实验中,剪切模量在第一个振动周期下降至 -4.45%。在第一个间隔时间内,剪切模量进一步降低至 -5.19%。在第二个振动周期,剪切模量继续下降至 -6.33%,但在第二个间隔时间内,模量又部分恢复至 -5.43%。在第三个振动周期,剪切模量下降至 -6.59%,随后在间隔时间内恢复至 -5.71%。在第四个振动周期后,尽管剪切模量在随后的振动周期中持续下降,但整个实验中未出现更低的模量值。振动期间的弱化效应和间隔阶段的恢复效应达到动态平衡(图13)。

在振幅为50 kPa的实验中,剪切模量在前三个振动周期内连续下降,在第四个周期后达到最低值 -2.08%,并进入动态平衡状态。相比之下,70 kPa振幅实验中的剪切模量的稳定状态低于50 kPa振幅实验的剪切模量(图13)。

图片

图13.多周期振动动态三轴弯曲实验,围压为300 kPa,偏应力为380 kPa。振动振幅分别为50 kPa和70 kPa,频率为1 Hz,单周期振动持续15秒,两周期间隔20秒;(a) 振动的偏应力变化(橙色线);(b) 剪切模量在50 kPa和70 kPa振幅下的变化(蓝色三角形和红色圆点)浅橙色区域代表振动阶段


讨论

01

多周期振动引发的共振滑移与后振滑移

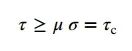
考虑振动对触发效应的影响时,通常使用库仑破坏应力理论。莫尔-库仑破坏准则描述了在给定正应力(σ)下,发生诱发滑移所需的剪应力(τ)。该准则定义了滑移带的剪切强度,并预测当满足以下条件时滑动区会发生滑移:

图片

在本研究中关注剪切应力振动对稳定性的影响以及振动周期数对稳定性的作用。根据莫尔-库仑破坏准则,振幅的增加使样品更容易发生滑移。那么,在相同振幅的振动条件下,如何通过增加振动周期数来触发不稳定性呢?这是因为存在振动削弱效应,表现为共振滑移位移随着振动周期数的增加而增长。
共振滑移常被用来评估地震条件下滑坡的稳定性。在共振滑移的计算中,通常采用Newmark方法,其认为滑移是由于振动引起的额外剪应力超过剪切强度而产生的,位移可表示为:

图片

式中ad为地震加速度,ac为试样滑移时的临界加速度,τd为地震剪应力,τc为试样滑移时的临界剪应力,S为剪应力面积,m为试样质量。

然而,在未考虑振动削弱的情况下,Newmark方法计算的共振滑移值通常低于实际值。因此,在使用Newmark方法计算共振滑移时,需要考虑振动削弱效应的影响。

后振滑移的出现进一步表明振动削弱效应的存在。实验中,振动前后施加的正应力和剪应力保持相同,但样品在振动前是静止的,而振动后表现出蠕变滑移。根据 τ≥μσ,当样品发生滑移时,振动后的摩擦系数 μ 必然降低,即τc<τ。对于减速的后振滑移,τc逐渐恢复并大于τ;而对于加速的后振滑移,τc始终小于τ。

为了描述振动影响下摩擦系数的削弱,可以使用原始公式μ(d) = μss + (μp - μss) exp(- α·d - β),该公式表征摩擦系数随滑移距离 d 的演变。通过将滑移距离 d 替换为振动相关参数(如振幅 A、频率 f、振动循环数 N、振动周期数 n),可将公式改为反映振动对摩擦系数的影响。

实验结果表明,低频振动更容易导致样品失稳。这可能是因为低频应力扰动变化较慢,样品有足够的时间演化到一个新的摩擦水平。

多周期振动导致样品的不稳定性,反映了样品剪切强度随着振动周期数增加而逐渐削弱。这种削弱不仅与振幅成正比,还与单次振动周期的振动时间和周期间的间隔时间相关。实验结果表明,较长的振动时间和较短的间隔时间更容易触发失稳。这是因为剪切强度的削弱与其恢复过程存在竞争,较长的振动时间导致更大的削弱,较长的间隔时间则促进了恢复。

愈合是摩擦强度随时间的恢复。这种恢复过程可以在Dieterich(1979)提出并由Ruina(1983)进一步完善的速率和状态摩擦定律的框架内有效地建模:μ = μ0 + b ln (t)。其中b为愈合速率。

总的来说振幅、频率和振动削弱共同影响共振滑移,而后振滑移由振动削弱控制,因此后振滑移对失稳起主导作用。振动周期的增加会导致样品剪切强度降低,最终导致失稳。


02

多周期振动引发的相变

当施加足够大的机械力时,致密的颗粒介质可能会经历从固体状态到液体状态的转变。在本研究中,多周期振动导致样品从静止状态逐渐进入加速运动状态(图4)。可以观察到,在第一个振动周期内,样品的测量剪切应力呈现与输入剪切应力相似的正弦周期特征(图5a)。此时,样品的剪切强度仍高于振动下的残余强度,表现为固体-半固体状态。而在第27个振动周期内,测量剪切应力不再随输入剪切应力变化(图5e),而是呈现出与振动结束后加速变形过程中相同的残余强度值。此时,样品在振动下已经表现为稳定流动状态。

颗粒系统内部的剪切应力与剪切强度是导致颗粒材料发生相变的决定性因素。如果颗粒系统内部的剪切应力超过临界剪切应力,系统将发生流动并进入液体状态,表现出流体特性;否则,它将保持静止。实验结果表明,随着振动周期数的增加,τm/τa比值逐渐下降(图6a),剪切模量也随之减弱(图13)。尽管剪切模量在间隔时间内会部分恢复,但多周期振动导致颗粒材料剪切强度的整体削弱,这是其从固体-半固体状态转变为液体状态的原因。在测试2中,τm/τa比值并未随振动周期数减少,样品始终处于固体-半固体状态。

在多周期振动导致失稳的实验中,值得注意的是,在剪切应力方向振动实验期间,样品的孔隙率基本保持不变。然而,在正应力方向振动和正应力与剪应力同时作用的振动实验中,观察到振动压实现象。这与现有干砂振动实验的结果一致,即小于1 g的垂直振动会导致颗粒密实,同时降低剪切强度。在剪切应力方向的振动实验中,振动未引起孔隙率变化,可能是由于正应力的抑制作用。虽然样品在宏观上未发生体积膨胀,但颗粒间的滑移与接触损失在微观层面上会导致剪切强度下降。颗粒系统剪切强度的下降甚至可能伴随着颗粒密实化。

03

对多次地震引发滑坡的启示

在实际情况中,许多研究监测了多阶段振动对滑坡滑动的影响。然而,对于滑坡失稳,研究往往仅关注触发滑坡的主震,而忽略了历史上的多阶段地震对滑坡发生的潜在影响。此外,在一次地震事件中,主震之后的余震可能会触发大量滑坡。研究多次地震引发的滑坡在地震活跃区和地震序列触发滑坡的背景下具有重要意义。

实验结果表明,后振滑移对样品失稳至关重要。在自然环境中,研究震后运动也非常重要,因为在实际案例中,一些地震引发的滑坡虽然被归类为地震滑坡,但实际上是在地震振动结束几分钟甚至几小时后才发生失稳。从更长的时间角度看,地震活动后的滑坡发生率明显高于地震活动前。这些现象凸显了震后运动在地震滑坡背景下的重要性。

Lacroix等首次观察到滑坡的震后位移,通过GPS测量发现秘鲁Maca滑坡的震后位移是震中位移的三倍。Bontemps等进一步研究了Maca滑坡,并提出了滑坡进入临界状态时的相对地震速度经验阈值。这些研究针对的是单次地震引发的滑坡。结合本实验结果,进一步提出了多次地震引发滑坡的失效模型(图14)。

图片

图14.多震触发滑坡破坏模型研究(a)多次地震作用下滑坡滑动带模型;(b)多次地震波导致滑动带剪切模量的连续减小,产生震后位移,最终导致破坏

在静态正应力和静态剪应力作用下的滑坡滑动带会经历多阶段地震活动(图14a)。在振动过程中,发生共振滑移,同时滑动带的剪切模量降低。地震结束后,剪切模量会部分恢复。当振动导致剪切模量低于某一临界值(Gc),但在振动后恢复到该临界值以上时,会发生减速的震后位移。如果滑动带由于振动持续削弱,剪切模量低于失效阈值(Gf),滑动带就会失效(图14b)。

需要强调的是,本实验中振动施加于静止样品。而在实际条件下,大多数滑坡在失稳前会在重力作用下经历缓慢的蠕变变形,但这种变形相较于地震引发的失稳而言是微不足道的。实验采用静止样品的目的是通过施加剪应力振动和正应力振动模拟滑动带在地震作用下的应力状态,同时静止样品更易观察从静止状态到失稳状态的影响。然而,也有研究针对长期蠕变样品开展振动实验,或对施加剪切速度的样品进行振动实验。这些研究表明,样品在振动前的运动状态会影响振动触发的不稳定性,不同的蠕变速度或剪切速度会对触发效果产生影响。然而,总体来看,运动样品比静止样品更容易因振动而失稳。

滑坡滑动带的材料表现出复杂多样的特性,与单一玻璃球颗粒的性质有显著不同。在本研究中,使用玻璃球作为简化模型,以尽可能减少滑动带在循环载荷条件下的复杂因素影响。值得注意的是,实验结果中剪切位移的趋势与地震期间实际滑坡位移的观测趋势相似。此外,地震事件引起的滑坡体内相对地震速度的下降,与动态三轴弯曲实验的结果高度一致。这些相关性进一步支持了使用玻璃球作为替代材料研究滑坡滑动带行为的合理性。

关于地震引发滑坡的研究提出,地震振动会导致滑带体积膨胀,因为有直接或间接的观测表明山体裂开的现象。然而,对于实际滑动带来说,地震可能由于正应力方向的振动和材料的破碎,反而引起颗粒的密实化。在自然条件下,滑坡通常涉及水,“震动液化”机制被认为是振动对滑动带的压实效应引起的超孔隙水压力生成。滑带内材料的破碎和液体的存在将进一步导致滑动带剪切强度的下降。

在多周期振动实验中,我们将振动频率控制为1 Hz。然而,实际地震波具有更广的频率范围。低频振动更容易引发样品失稳,而地震产生的低频地震波可能会促进滑坡的触发。在实验中,我们控制了单次实验中的振幅、振动时间和间隔时间,以尽量减少变量对结果的影响。然而,在自然条件下,由于地震震级的不同或震中距离的变化,滑坡滑动带可能经历不同振幅的振动,而振动时间和相邻地震之间的间隔时间也可能不同。实验结果表明,振幅和振动时间会影响剪切模量的削弱程度(图13),而间隔时间会影响剪切模量的恢复程度。多周期振动中较大的振幅、较长的振动时间和较短的间隔时间更容易导致失稳。这也解释了为何地震活跃区(地震频繁且震级较高)以及近场震动区域,地震滑坡数量明显多于地震不活跃区。


结论

本研究探讨了多震触发滑坡的地震反应特征和动力弱化机理。实验使用0.2-0.4 mm玻璃球在干燥条件下(室温)进行了不同振幅的多周期振动环剪试验,并通过动态三轴弯曲系统分析了剪切模量的变化。实验结果强调了震后剪切位移在控制颗粒材料加速变形和失稳中的关键作用。此外,研究结果表明,多周期振动降低了颗粒材料的抗剪强度,从而引起了从固态到液态的相变,最终导致不稳定。该研究为颗粒材料在多周期振动下的动力响应特性提供了有价值的见解,并有助于更好地理解多次地震事件引发的滑坡的复杂行为。

证书查询 |留言板| 关于我们

版权所有:中国地质灾害防治与生态修复协会

地址:北京市海淀区中关村东路66号世纪科贸大厦B座2层 电话:010-62119819

京ICP备12052178号-2  京公网安备 11010702001900号

免责声明:本网站从行业工作角度出发,所载信息部分来自相关媒体,版权属原作者所有,如有不妥,请告知,我们将及时处理。

Baidu
map